Nama: Alfiandy Ernanda Pratama
NIM: 230102141
Prodi: Teknik Mesin REG B
Publikasi 21 November 2023
Momentum Fisika: Pengertian, Rumus, dan Contoh Soalnya
Konsep momentum
Sebelum masuk ke rumus momentum, ada baiknya memahami konsep besaran ini terlebih dahulu. Dalam momentum, semakin besar massa suatu benda, semakin besar pula usaha yang diperlukan untuk menghentikan benda tersebut.
Pengertian Momentum


Sumber: https://cirill.net/
Bila kamu berada di dalam sebuah bus yang sedang bergerak cepat, kemudian direm mendadak, kamu merasakan bahwa badan kamu terlempar ke depan. Hal ini akibat adanya sifat kelembaman, yaitu sifat untuk mempertahankan keadaan semula yaitu dalam keadaan bergerak. Hal yang sama juga dirasakan oleh si sopir yang berusaha mengerem bus tersebut. Apabila penumpang busanya lebih banyak, pada saat sopir bus memberhentikan/mengerem bus secara mendadak, harus memberikan gaya yang lebih besar. Dalam bab ini akan dibicarakan mengenai momentum, yang merupakan salah satu besaran yang dimiliki oleh setiap benda yang bergerak. Di dalam fisika, dikenal dua macam momentum, yaitu momentum linear (p) dan momentum angular (L). Pada materi ini hanya akan dibahas momentum linear. Selain momentum linear akan dibahas juga besaran Impuls gaya (I) dan hukum kekekalan momentum linear, serta tumbukan.
Istilah momentum yang akan dipelajari pada bab ini adalah momentum linear (p), yang didefinisikan sebagai berikut: Momentum suatu benda yang bergerak adalah hasil perkalian antara massa benda dan kecepatannya. Oleh karena itu, setiap benda yang bergerak memiliki momentum. Secara matematis, momentum linear ditulis sebagai berikut:

Keterangan:
p = momentum (besaran vektor),
m = massa (besaran skalar), dan
v = kecepatan (besaran vektor).
Bila dilihat persamaan, arah dari momentum selalu searah dengan arah kecepatannya.
Berdasarkan rumus diatas dapat kita tarik kesimpulan bahwa momentum benda akan semakin besar ketika massa benda dan kecepatan benda semakin besar. Hal ini juga akan berlaku sebaliknya semakin kecil massa atau kecepatan benda maka akan semakin kecil pula momentumnya. Dalam ilmu fisika ada yang namanya hukum kekekalan momentum yang berbunyi “momentum sebelum dan sesudah tumbukan akan selalu sama".
Misalkan ada dua benda yang memiliki kecepatan dan massa masing – masing mengalami tumbukan dan setelah tumbukan masing – masing benda akan memiliki kecepatan yang berbeda maka menurut ilmu fisika hukum kekekalan momentum. pada setiap jenis tumbukan yang terjadi antara kedua benda akan selalu berlaku hukum kekekalan momentum baik itu pada tumbukan lenting sebagian, tumbukan lenting sempurna atau bahkan pada tumbukan tidak lenting sama sekali. Secara sistematis hukum kekekalan momentum dapat ditulis seperti berikut:
![]()
Jadi Sobat Pintar, Setiap benda yang bergerak pasti memiliki momentum. Momentum bisa juga didefinisikan sebagai tingkat kesukaran untuk menghentikan gerak suatu benda.
Satuan Momentum

Menurut Sistem Internasional (SI) Satuan momentum p = satuan massa x satuan kecepatan = kg x m/s = kg . m/s. Jadi, satuan momentum dalam SI adalah : kg.m/s
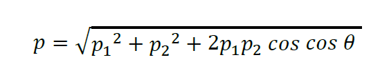
Momentum adalah besaran vektor, oleh karena itu jika ada beberapa vektor momentum dijumlahkan, harus dijumlahkan secara vektor. Misalkan ada dua buah vektor momentum p1 dan p2 membentuk sudut, maka jumlah momentum kedua vektor harus dijumlahkan secara vektor, seperti yang terlihat dari gambar vektor gambar dibawah ini

Besar vektor p dirumuskan sebagai berikut:

Pengertian Tumbukan
Tumbukan adalah interaksi dua benda atau lebih yang bertukar gaya dalam selang waktu tertentu dan memenuhi hukum kekekalan momentum.
Mengenal Jenis Tumbukan Dalam Fisika
Berdasarkan sifat kelentingan tumbukan terbagi menjadi 3 jenis, yakni:
1. Tumbukan Lenting Sempurna
Pertama ada tumbukan lenting sempurna yang kerap sekali terjadi dalam kehidupan sehari-hari. Dalam hal ini memiliki energi kinetik yang kekal. Energi kinetik muncul antara dua benda sebelum dan sesudah terjadi tumbukan yang sama.
Dengan kata lain, tumbukan lenting sempurna berkaitan dengan hukum kekekalan momentum dan kekekalan energi. Kedua benda tidak akan kehilangan energi kinetiknya ketika saling bertumbukan.
Adapun rumus dari tumbukan lenting sempurna adalah sebagai berikut
V1 + V1′ = V2 + V2′
Baca Juga: Momentum dalam Fisika Beserta Penerapan di Kehidupan Sehari-Hari
2. Tumbukan Lenting Sebagian
Jenis tumbukan dalam Fisika berikutnya adalah lenting sebagian. Terjadi pada dua benda dengan sebagian setelah tumbukan. Salah satu benda mengalami hilangnya energi kinetik.
Dalam hal ini, masing-masing benda akan terlihat kecepatannya sebelum dan sesudah tumbukan. Agar bisa melihatnya, maka menggunakan rumus lenting sebagian seperti berikut ini.
eV1 + V1 = eV2 + V2
Persamaan tersebut e merupakan koefisien restitusi yang bergerak pada nilai 0-1. Peristiwa lenting sebagian bisa terlihat pada memantulnya bekel secara berulang kali hingga berhenti. Nilai e akan berpengaruh tinggi terhadap pantulan awal.
Pada tumbukan lenting sebagian energi kinetik akan berubah menjadi bentuk lain. Sehingga energi kinetik setelah terjadinya tumbukan jauh lebih kecil dari sebelumnya. Apabila dalam persamaan maka menjadi rumus tinggi pantulan n tumbukan, yakni:
hn = ho.e²ⁿ
Contoh Soal
Bola bekel jatuh dalam ketinggian 2 m. Lalu bola tersebut terpantul secara berulang kali. Bila besar koefisien restitusi 0,5, berapakah tinggi bola bekel setelah memantul yang ke 4?
Pembahasan
Diketahui : ho = 2 m; e = 0,5; n = 4
Ditanyakan : h4 = ?
Jawab :
hn = ho.e²ⁿ
h4 = 2 x 0,5⁸
h4 = 0,0078 m
Jadi, tinggi bola bekel setelah memantul yang ke 4 ialah 0,0078 meter.
3. Tumbukan Tidak Lenting Sempurna
Jenis tumbukan dalam Fisika berikutnya adalah tidak lenting sempurna. Tumbukan terjadi pada dua benda yang menyatu dan bergerak bersamaan. Setelah bertumbukan keduanya akan bergabung dan menjadi satu.
Besar momentum sesudah dan sebelum tumbukan nilainya akan sama. Apabila masuk dalam persamaan, maka muncul rumus berikut.
m1 V1 + m2 V2 = (m1 + m2)V’
Nilai Koefisien Restitusi
1. Pada tumbukan lenting sempurna, nilai e = 1
2. Pada tumbukan lenting sebagian, 0 < e < 1
3. Pada tumbukan tidak lenting sempurna, e = 0
https://kumparan.com/berita-terkini/contoh-soal-momentum-dan-impuls-dan-jawabannya-1zoaov7RfYg/4
https://www.harapanrakyat.com/2021/12/tumbukan-dalam-fisika/
https://akupintar.id/belajar/-/online/materi/modul/11/fisika/momentum-dan-impuls/momentum/114978214
Penulis: Rizky Aisyah | Editor: Royandi
Tidak ada komentar:
Posting Komentar